Definition
TACO is defined as acute or worsening respiratory compromise and/or acute or worsening pulmonary oedema during or up to 12 hours of transfusion, with additional features including cardiovascular system changes not explained by the patient’s underlying medical condition; evidence of fluid overload and a relevant biomarker.
Data collection on TACO began in 2008, and although reported numbers have steadily increased since that time, it is thought that TACO remains under-reported.
In 2016 the pre-transfusion TACO checklist was introduced, and has been modified and refined since then. The latest version of this can be found in the most recent Annual Report chapter, and also in the Figures pdf in the Resources section below.
SHOT Transfusion Safety Standards
The SHOT Transfusion Safety Standards were released in July 2025, and these replace recommendations in the Annual SHOT Reports. More details on these can be found at: https://www.shotuk.org/transfusion-safety/transfusion-safety-standards/
Recommendations from recent Annual SHOT Reports (prior to 2024)
Perform a gap analysis and implement the recommendations of the NPSA alert on TACO (MHRA and SHOT, 2024). This incorporates ongoing SHOT recommendations and access to further guidance and supporting resources
Action: Hospital Trusts/Health Boards
Please see the individual SHOT chapters below for other previous recommendations which remain relevant.
TACO Resources
Decommissioning of the Red Cell Dosage Calculator (RCDC)
The Red Cell Dosage Calculator (RCDC), developed by Bolton NHSFT, has been decommissioned with effect from 1 June 2026 following changes to UK Medical Devices regulations that require reclassification to a Class IIa medical device and independent Approved Body assessment. This level of regulation has been deemed to be no longer proportionate or feasible for this decision‑support tool.
The RCDC, which was incorporated into the SHOT TACO alert and signposted in previous SHOT Annual Reports and resources, is therefore no longer available. To support clinical practice, the document included below provides guidance and resources for an alternative manual red cell dosing process, aligned with current BSH and NBTC transfusion guidance. Future re‑commissioning may be considered should funding for regulatory approval and ongoing support be identified.
Decommissioning of the Red Cell Dosage Calculator: Resources to assist an alternative manual process

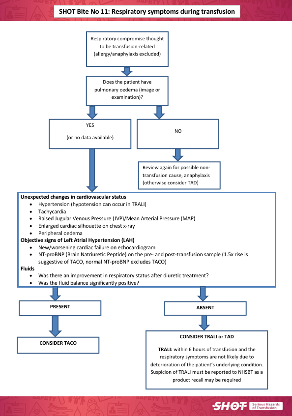
Pulmonary complications (TRALI, TACO and TAD) post transfusion continue to contribute significantly to death and major morbidity after transfusion. At least some of these are potentially preventable and early recognition with prompt treatment is vital. This video provides an overview of the pulmonary complications as reported to SHOT and covers key learning points.
This video explores what TACO is, how to recognise it, how to reduce the risk of it occurring and how to evaluate practice following a case. TACO is a potentially preventable complication of transfusion. Whether making the decision to transfuse, authorising transfusion, issuing blood from the laboratory, or administering blood – everyone involved in the process has a responsibility and opportunity to reduce the risk of TACO.
This 2024 recording from the ‘Meet the Experts’ webinar focusing on Pulmonary Complications of Transfusions was presented by Dr Sharran Grey. The live Q&A session held on the 5th of September 2024 can be found below.
This TACO webinar was live on 04 May 2022. SHOT pulmonary working expert group members provide an overview of the TACO cases submitted to SHOT, cover key learning points and recommendations for safer patient care. The presentation also includes some illustrative cases, and a Q&A.











TACO Annual Report Chapters
To access the chapter click either on the cover of the Annual SHOT Report or the link below the picture
















